聯系熱線
美國API T265型臭氧分析儀面板介紹T265型臭氧分析儀使用化學發光一氧化氮作為反應物,使得它在已知應用中都能安全、穩定、高效地運行。用于臭氧的一氧化氮化學

美國2B臭氧檢測儀如何連接電腦記錄數據美國2B臭氧檢測儀自帶存儲功能,也可以通過軟件在電腦上實時采集檢測儀數據。這個視頻介紹軟件如何使用,在購買美國2B臭氧檢測

環境紫外臭氧檢測儀原理及使用方法紫外臭氧檢測儀是一種專門用于檢測環境中臭氧濃度的儀器。臭氧是一種強氧化劑,對環境和人體健康都有一定的影響。因此,準確、快速地檢測

便攜式臭氧測試儀使用方法及步驟便攜式臭氧測試儀是一種用于測量環境中臭氧濃度的儀器。正確使用臭氧測試儀對于了解環境質量、保障人員健康以及進行科學研究具有重要意義。


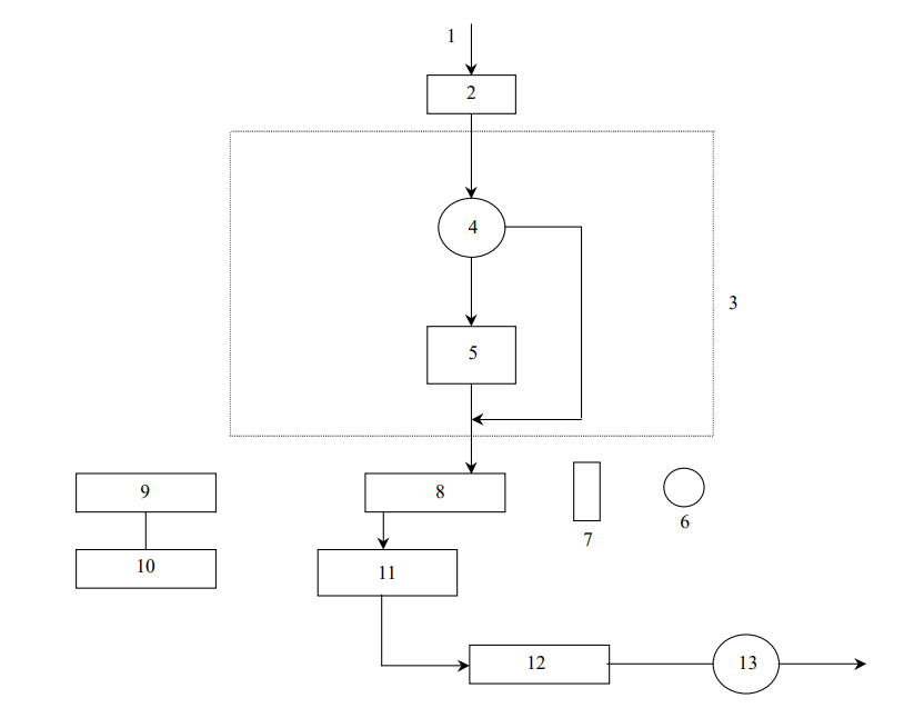
美國TAPI 465M臭氧檢測儀原理圖美國TAPI 465M臭氧檢測儀的傳感器模塊只對非常窄的光譜帶敏感,因此無需紫外線光譜濾波器。而紫外線濾波器會被紫外線或濕度所影響,從而導致測量結果不準確。465M中使用了兩個探測器:一個用于臭氧測量,...

Aeroqual 930固定式臭氧檢測儀介紹Aeroqual 930 系列固定式臭氧監測儀是一款靈活的監測儀,設計用于測量和控制空氣中的臭氧濃度。兼容四個系列的可更換臭氧傳感器頭。適用于一系列項目,包括健康和安全監測、臭氧過程控制和泄漏檢...

美國EcoZone EZ?1X臭氧檢測儀預熱時間確保EZ?1X預熱至少15分鐘。如果EZ?1X已超過一周未使用或存放在化學品附近,強烈建議將其前一天夜里開始預熱。需要進行預熱,主要目的是“燒掉”傳感器在閑置且未加熱時會吸收的微量化學物質。...

日本荏原Ebara EG- 600在線臭氧監測儀 ·傳感器和控制裝置分離式·通過電池的特殊結構,可以測量大體積、高壓的臭氧氣體·直列式:簡單的管道連接管可直接連接到傳感器部分。 參數測量原理:紫外吸收法測量周期:連續測量測量范圍:20.0 ...
